Logo
Explore Help
Register Sign In
tobias/digitale-bildverarbeitung-labor-ss25
1
0
Fork 0
You've already forked digitale-bildverarbeitung-labor-ss25
Code Issues Pull Requests Actions Packages Projects Releases Wiki Activity
Files
cc5199146a7875e9004d1a9797247b7eef904c88
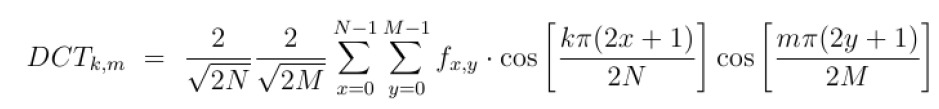
digitale-bildverarbeitung-l…/3_Signalorientierte_Bildverarbeitung/ü1/data/dct.png
tobias 7ea3207e63 Initial commit with project files
2025-06-27 14:34:11 +02:00

24 KiB
939x109px
Raw History

/tobias/digitale-bildverarbeitung-labor-ss25/raw/commit/cc5199146a7875e9004d1a9797247b7eef904c88/3_Signalorientierte_Bildverarbeitung/%C3%BC1/data/dct.png
Reference in New Issue View Git Blame Copy Permalink
Powered by Gitea Version: 1.25.2 Page: 40ms Template: 4ms
English
Bahasa Indonesia Deutsch English Español Français Gaeilge Italiano Latviešu Magyar nyelv Nederlands Polski Português de Portugal Português do Brasil Suomi Svenska Türkçe Čeština Ελληνικά Български Русский Українська فارسی മലയാളം 日本語 简体中文 繁體中文(台灣) 繁體中文(香港) 한국어
Licenses API